• Предмет: Алгебра
  • Автор: Ольга35
  • Вопрос задан 2 года назад

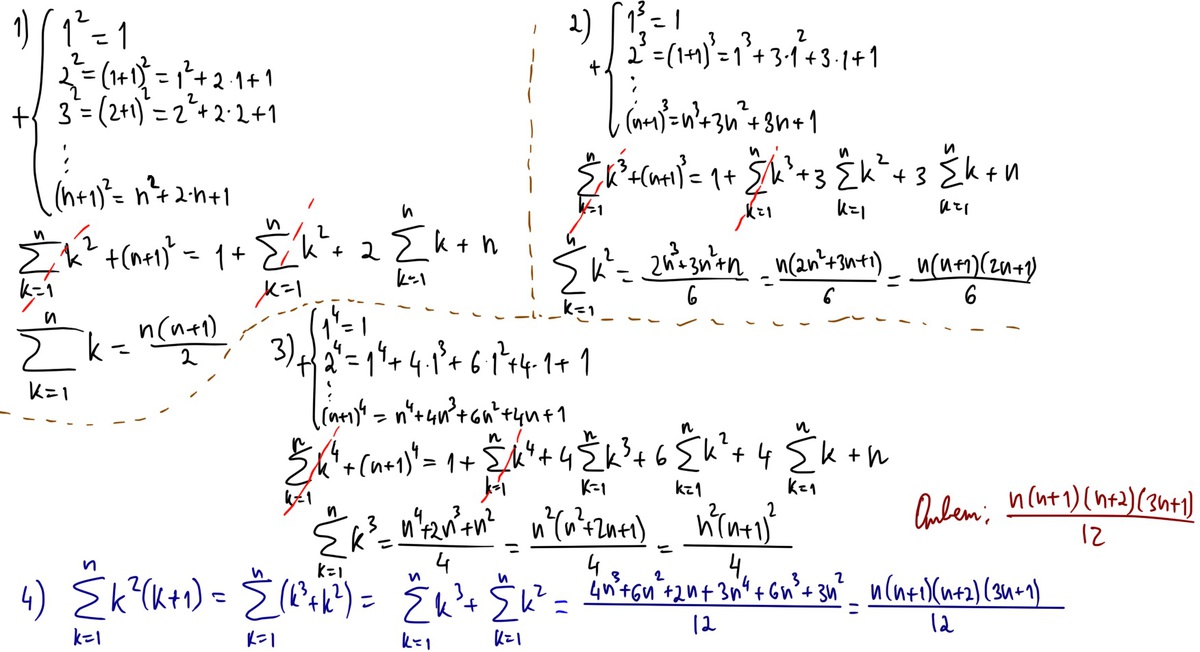
Задание во вложенном файле

Приложения:

Ответы

Ответ дал: nikolac
1
Решение на картинке - в пункте 1 вывод формулы суммы от 1 до n, в пункте 2 - формулы суммы квадратов от 1 до n, в пункте 3 - формулы суммы кубов от 1 до n, в пункте 4 решение исходной задачи.
Приложения:
Вас заинтересует