• Предмет: Алгебра
  • Автор: NastasiaT
  • Вопрос задан 2 года назад

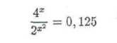
30) Решить уравнение

Приложения:

Ответы

Ответ дал: Heniy693
0
2^2X/2^x^2=0.125
2^(2x-x^2)=2^-3
x^2-2x-3=0
d1=1+3=4
x1=1+2=3
x2=1-2=-1
Ответ дал: mukus13
3
 \frac{4^x}{ 2^{ x^{2} } } =0.125

 \frac{2^{2x} }{ 2^{ x^{2} } } = \frac{1}{8}

 2^{2x- x^{2} } = 2^{-3}

2x- x^{2}=-3

 x^{2} -2x-3=0
D=4+12=16
x_1=3
x_2=-1
Ответ: 3;-1
Вас заинтересует