Ответы
Ответ дал:
3
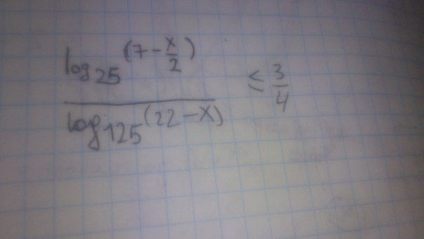
ОДЗ:





+ — + — +
--------------*----------------*-------------o------------o-------->x
6 18 21 22
![x \in [6; 18] \ \cup \ (21;22) x \in [6; 18] \ \cup \ (21;22)](https://tex.z-dn.net/?f=x+%5Cin+%5B6%3B+18%5D+%5C+%5Ccup+%5C+%2821%3B22%29)
C учетом ОДЗ:
+ — + — +
--------------*----------------*-------------o------------o-------->x
6 18 21 22
C учетом ОДЗ:
agasikkk:
в решение полностью уверены?
Решение верное.
Да
Ответ дал:
2
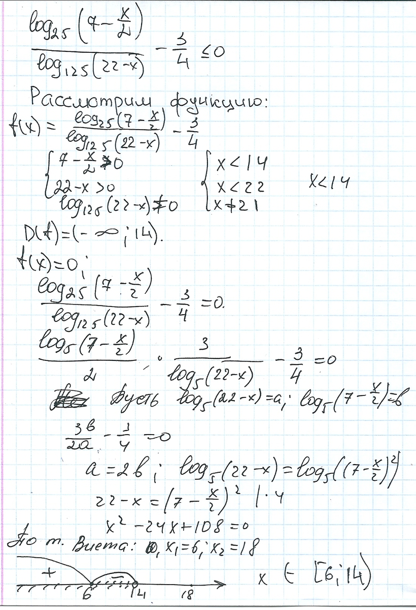
Решение смотрите в приложени.....
Приложения:
Вас заинтересует
2 года назад
2 года назад
2 года назад
2 года назад
7 лет назад
9 лет назад