помогите даю 10 баллов правильный ответ отмечу как ЛУЧШИЙ
Приложения:
an602:
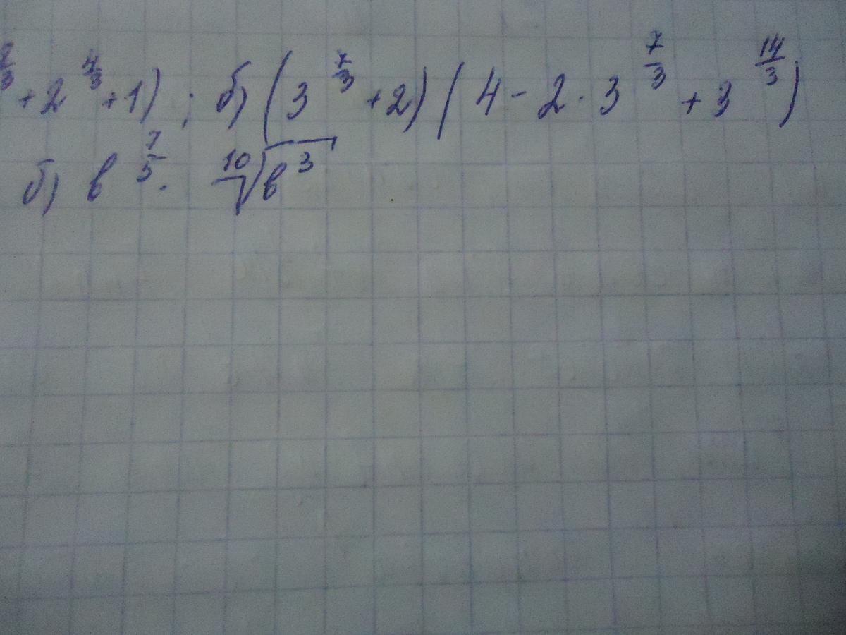
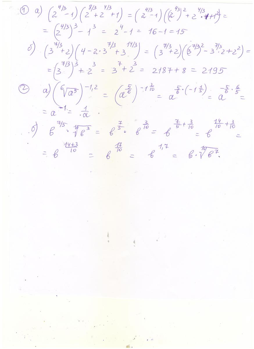
Кирилл! я ведь уже давала ответы на это задание 1)а)15 б)2195 2)а) 1/а б)b^1,4
не могли бы расписать в ответе
Ответы
Ответ дал:
1
1
а)формула (a-b)(a²+ab+b²)=a³-b³

б)формула (a+b)(a²-ab+b²)=a³+b³

2
а)свойство (a^m)^n=a^(m*n)

б)свойство a^m*a^n=a^(m+n)

а)формула (a-b)(a²+ab+b²)=a³-b³
б)формула (a+b)(a²-ab+b²)=a³+b³
2
а)свойство (a^m)^n=a^(m*n)
б)свойство a^m*a^n=a^(m+n)
Ответ дал:
1
смотри приложенный файл
Приложения:
Вас заинтересует
2 года назад
2 года назад
2 года назад
2 года назад
7 лет назад
7 лет назад
9 лет назад