• Предмет: Алгебра
  • Автор: Ольга35
  • Вопрос задан 2 года назад

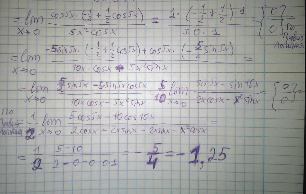
Найдите. Должно быть -6,25

Приложения:

Zhiraffe: В знаменателе что-то другое написано - у вас описка. В противном случае икс в квадрате, стоящий в знаменателе, "приведет" предел к нулю.
Ольга35: я сейчас сделаю вложенный файл
Матов: вы где ошиблись , ответ вышел -1,25
Ольга35: В ответах стоит -6,25. На него выйти не могу
Матов: нет он не верен , если все написано как есть
Ольга35: может в книге и ошибка. Вы свое решение можете предложить?

Ответы

Ответ дал: Zhiraffe
1
Можно применяя два раза Правило Лопиталя придти к ответу -1,25. Решение в файле.
Приложения:
Вас заинтересует