Логарифмическое неравенство,помогите пожалуйста решить!!!
Приложения:

Aleval:
Типовые экзаменационные задания для подговки к ЕГЭ и нарушения ставить не стоит!
Ответы
Ответ дал:
1
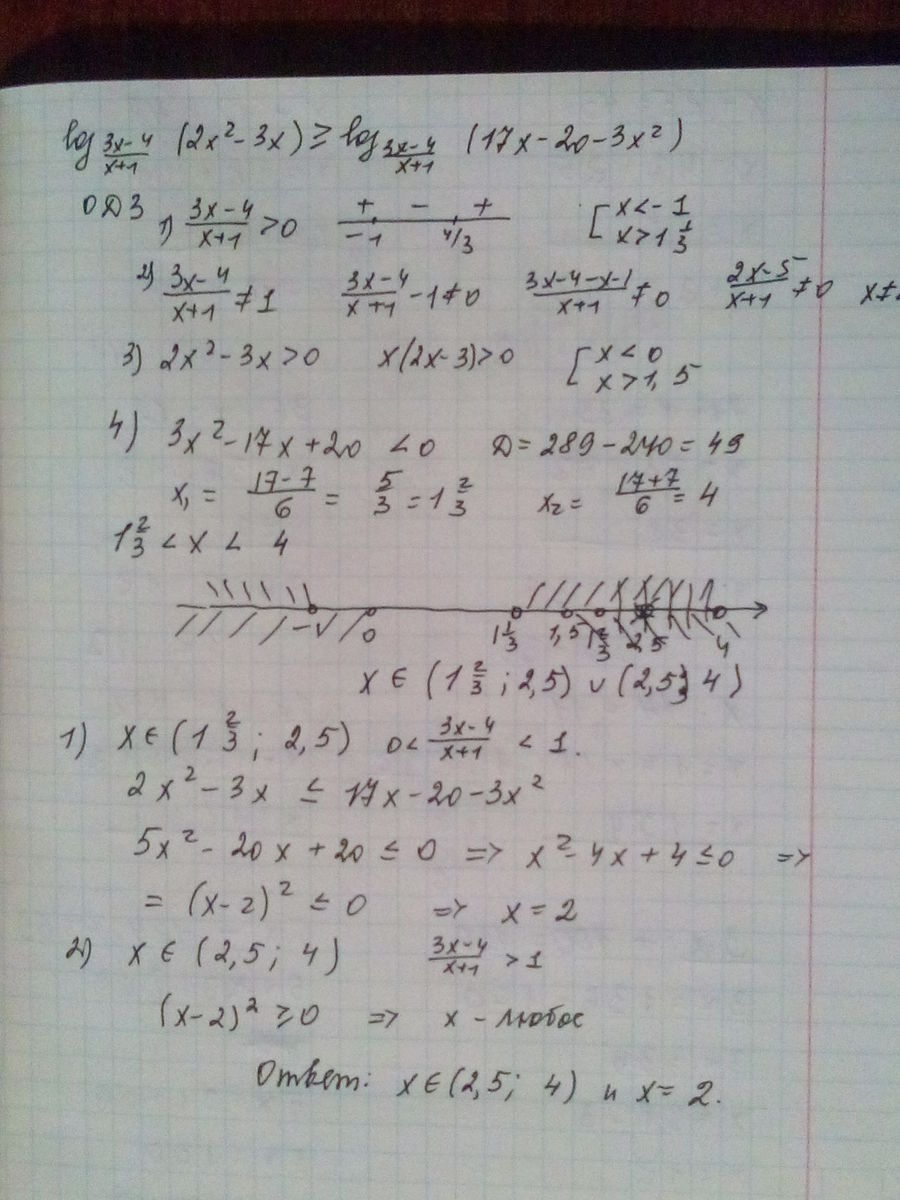
Смотреть во вложении
Приложения:

Ответ дал:
7
ОДЗ:
(1)
(2) решаем методом интервалов и получаем x∈
(3) решаем методом интервалов x∈
(4)
решаем методом интервалов и получаем x∈
объединяем все случаи и получаем
переходим к решению неравенства и рассмотрим 2 случая:
1)
общее решение этого случая: {2}
2)
общее решение этого случая : x∈
объединяем 1 и 2 случаи x∈
находим в пересечении с ОДЗ и получаем
Ответ: {2} (2.5; 4)
Вас заинтересует
2 года назад
2 года назад
2 года назад
2 года назад
7 лет назад
9 лет назад