Ответы
Ответ дал:
1
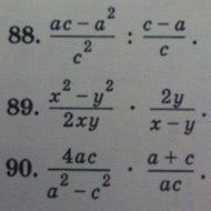
88) Учтём, что ас - а² = а(с - а)
Пример запишем:
а(с - а)/с² ·с/(с - а)= а/с
89) Учтём , что х² - у² = (х - у)(х +у) и после сокращения получим:
= (х+у)/х
90) Учтём, что а² - с² = ( а - с)( а + с0 и после сокращения получим:
= 4/(а - с)
Пример запишем:
а(с - а)/с² ·с/(с - а)= а/с
89) Учтём , что х² - у² = (х - у)(х +у) и после сокращения получим:
= (х+у)/х
90) Учтём, что а² - с² = ( а - с)( а + с0 и после сокращения получим:
= 4/(а - с)
Вас заинтересует
2 года назад
2 года назад
2 года назад
7 лет назад
9 лет назад
9 лет назад