• Предмет: Математика
  • Автор: TAUASAR
  • Вопрос задан 3 года назад

трудновато в конце я не мог до конца решить !!! помогите люди добрые

Приложения:

Ответы

Ответ дал: ВладимирБ
0
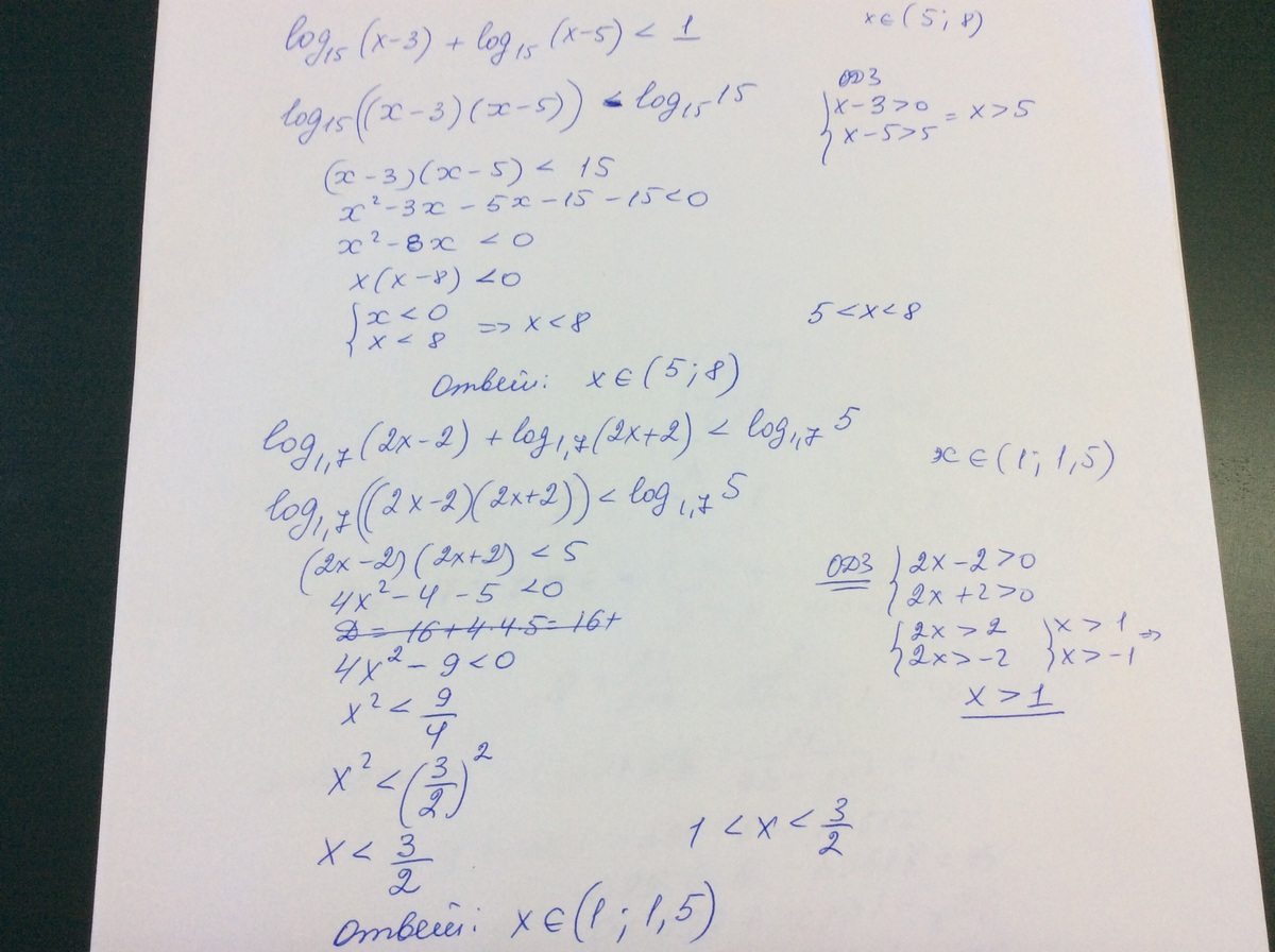
Решение смотри в приложении
Приложения:
Вас заинтересует