• Предмет: Алгебра
  • Автор: reborn500100
  • Вопрос задан 2 года назад

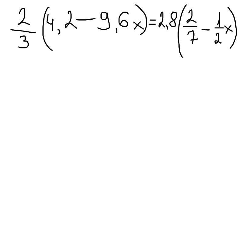
Помогите решить уравнение!!
Подробно!

Приложения:

Ответы

Ответ дал: Аноним
0
2,8-6,4х=0,8-1,4х
6,4х-1,4х=2,8-0,8
5х=2
х=2:5
х=0,4
Вас заинтересует