Знайти х
Привет, розпишіть по діях пліз
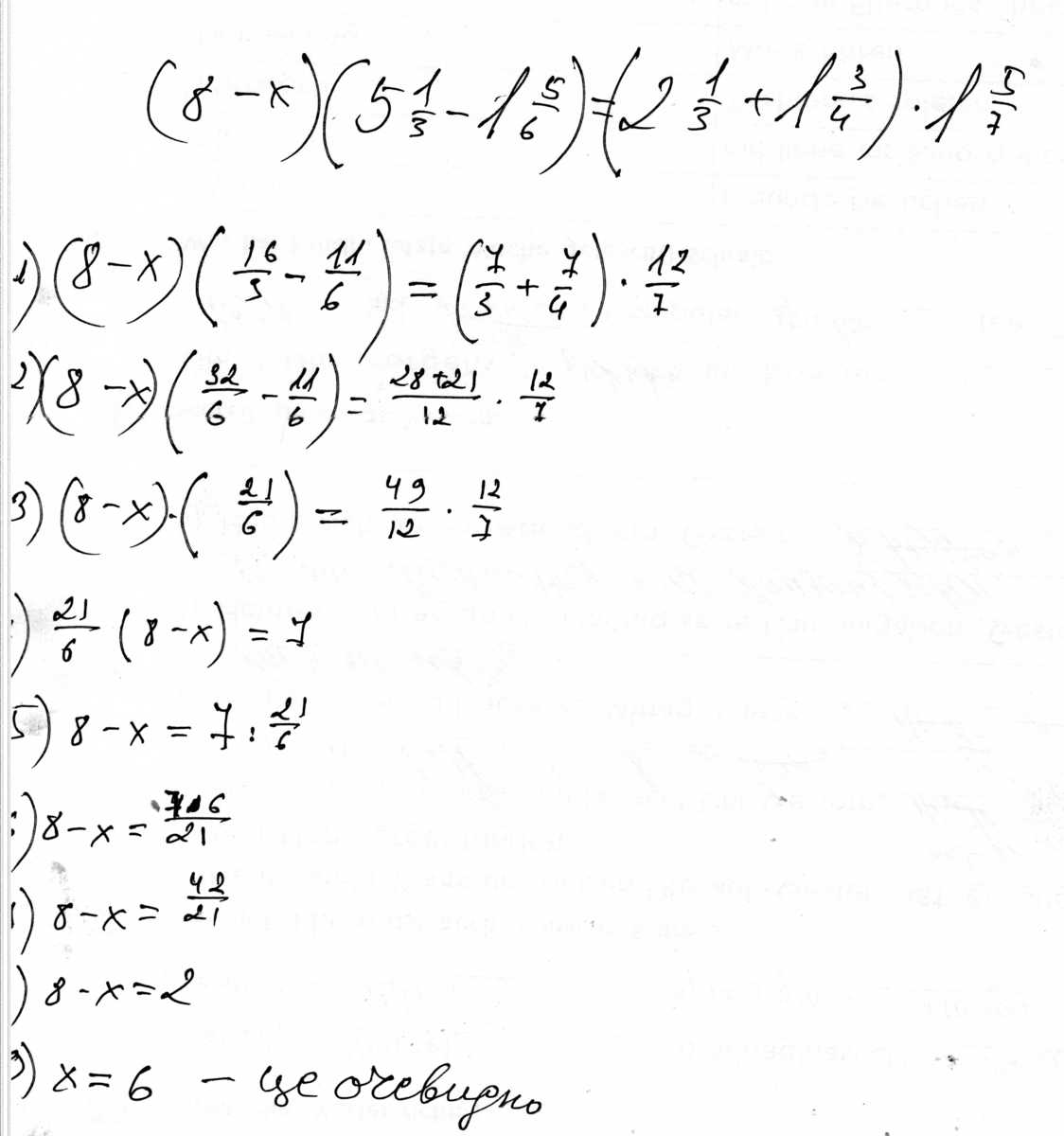
(8-х)(5 цілих одна третя - 1 ціла пять шостих) = (2 цілих одна третя + 1 ціла три чотвертих) помножити на одну цілу пять сьомих
Ответы
Ответ дал:
0
На мою думку, цього достатньо, а щоб перевести мішаний дріб у неправильний, необхідно цілу частину дробу помножити на знаменник і додати до добутку чисельник. Очевидно, що у 3 ряду душки не є необхідними( до знаку дорівнює).
Приложения:

Вас заинтересует
2 года назад
2 года назад
2 года назад
7 лет назад
7 лет назад
9 лет назад
9 лет назад