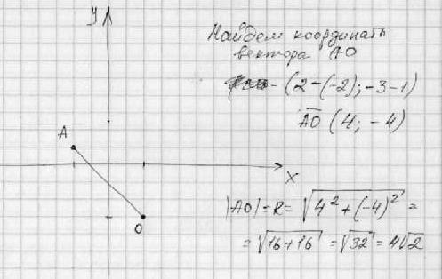
Найдите радиус окружности,если она проходит через точку (-2;1) и ее центр находится в точке (2;-3).
Ответы
Ответ дал:
36
********************************
Приложения:

Вас заинтересует
2 года назад
2 года назад
2 года назад
2 года назад
7 лет назад
7 лет назад
9 лет назад
9 лет назад