• Предмет: Математика
  • Автор: Demalena
  • Вопрос задан 3 года назад

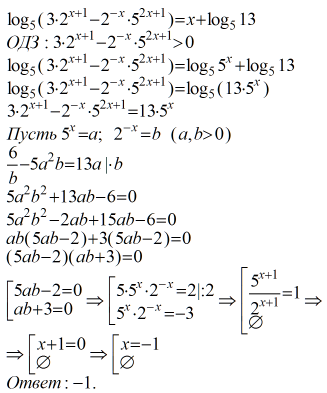
Найдите сумму всех корней уравнения log5(3⋅2^(x+1)−2^(−x)⋅5^(2x+1))=x+log5 13.

Ответы

Ответ дал: Аноним
2
Решение смотрите в приложении
Приложения:
Вас заинтересует