Ответы
Ответ дал:
0
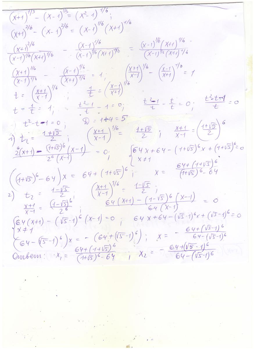
смотри приложенный файл
Приложения:
Надо было упростить выражения в ответах, там ответ ±(√5)/2
Ответ дал:
1
Обозначим
и
Тогда уравнение можно записать как
Возведем обе части в куб:
Т.к.
и
получаем
т.е.
Отсюда
и ответ: 
balshoy spasiba
Вас заинтересует
2 года назад
2 года назад
2 года назад
2 года назад
7 лет назад
7 лет назад
9 лет назад
t=((x+1)/(x-1))^(1/6).