Ответы
Ответ дал:
0
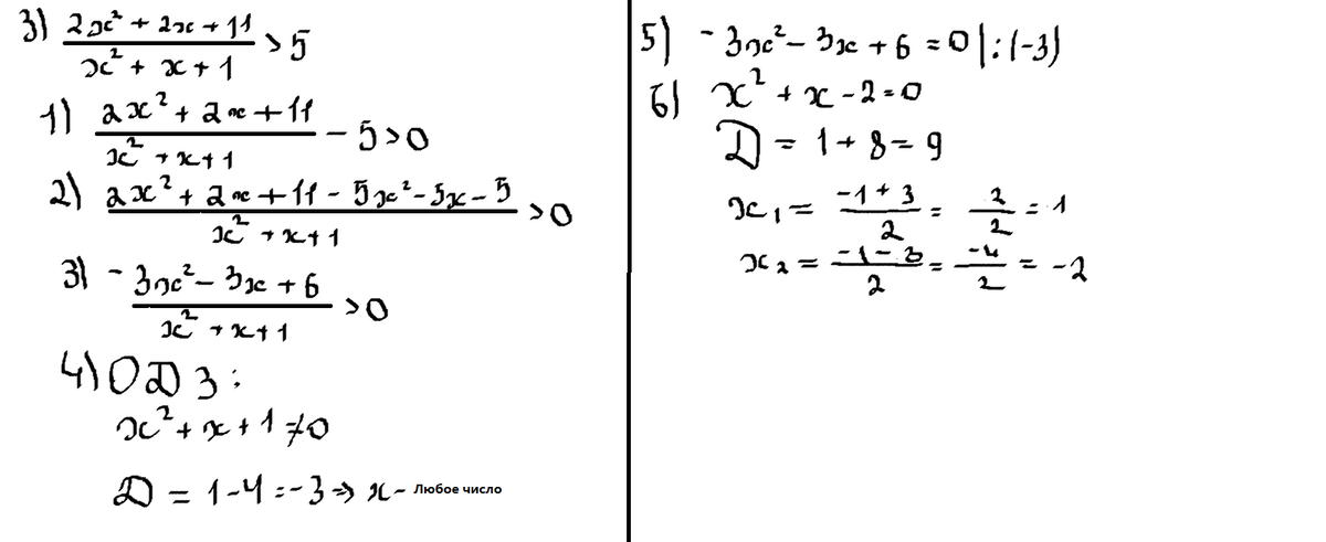
3. Решение.
1) Переносим 5 (при этом знак + поменяется на противоположный -), чтобы неравенство было больше 0.
2) Вычитаем (при этом -5 нужно умножить на знаменатель, и не забывай, что при умножении отрицательного числа на положительное получаем отрицательное).
3) Упрощаем числитель.
4) Вычисляем ОДЗ. Находим дискриминант, он отрицательный, следовательно х-любое число.
5) Приравниваем числитель к 0. Делим числитель на -3, чтобы удобнее было вычислять.
6) Находим корни.
Ответ: -2 и 1.
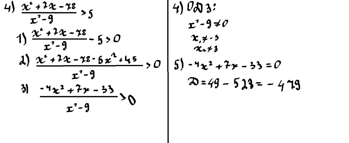
4. Решение:
1) Переносим 5 (при этом знак + поменяется на противоположный -), чтобы неравенство было больше 0.
2) Вычитаем (при этом -5 нужно умножить на знаменатель, и не забывай, что при умножении отрицательного числа на положительное получаем отрицательное).
3) Упрощаем числитель.
4) Находим ОДЗ, х не должен равняться 3 и -3.
5) Приравниваем числитель к 0, и дискриминант отрицательный, следовательно два вывода: 1) Нет решения или 2) где-то допущена ошибка, но я найти ее не могу, по моему ее нет.
1) Переносим 5 (при этом знак + поменяется на противоположный -), чтобы неравенство было больше 0.
2) Вычитаем (при этом -5 нужно умножить на знаменатель, и не забывай, что при умножении отрицательного числа на положительное получаем отрицательное).
3) Упрощаем числитель.
4) Вычисляем ОДЗ. Находим дискриминант, он отрицательный, следовательно х-любое число.
5) Приравниваем числитель к 0. Делим числитель на -3, чтобы удобнее было вычислять.
6) Находим корни.
Ответ: -2 и 1.
4. Решение:
1) Переносим 5 (при этом знак + поменяется на противоположный -), чтобы неравенство было больше 0.
2) Вычитаем (при этом -5 нужно умножить на знаменатель, и не забывай, что при умножении отрицательного числа на положительное получаем отрицательное).
3) Упрощаем числитель.
4) Находим ОДЗ, х не должен равняться 3 и -3.
5) Приравниваем числитель к 0, и дискриминант отрицательный, следовательно два вывода: 1) Нет решения или 2) где-то допущена ошибка, но я найти ее не могу, по моему ее нет.
Приложения:
kseniyagavrilova:
Я не дописала, сей час
Спроси еще у кого-нибудь.
А ответы есть?
Вас заинтересует
2 года назад
2 года назад
2 года назад
2 года назад
7 лет назад
7 лет назад
9 лет назад