Ответы
Ответ дал:
1
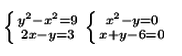
Решение на фотоооооооооооооооооооооо
Приложения:



matveeva0022:
http://znanija.com/task/12631900 можешь еще с этими помочь?
Вас заинтересует
2 года назад
2 года назад
2 года назад
7 лет назад
7 лет назад
8 лет назад