Тракторист в первый день вспахал 30% площади под горох, во второй день вспахал
оставшиеся 210 га. Сколько гектаров вспахал тракторист в первый день?
Ответы
Ответ дал:
1
................................................................
Приложения:
Ответ дал:
2
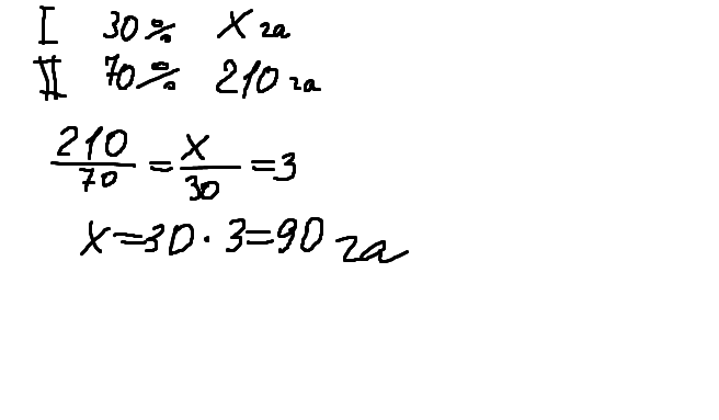
то есть он вспохал в первый день 30 % во второй день 100-30=70%
210 =70%
х=30%
х=210*30/70
х=90 га
Ответ 90
210 =70%
х=30%
х=210*30/70
х=90 га
Ответ 90
Вас заинтересует
2 года назад
2 года назад
2 года назад
7 лет назад
7 лет назад
9 лет назад
9 лет назад