• Предмет: Алгебра
  • Автор: KVadik220
  • Вопрос задан 3 года назад

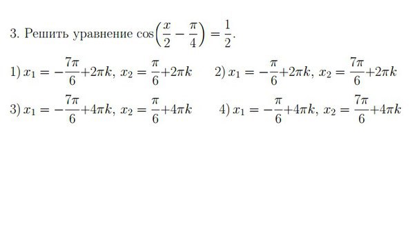
Помогите решить...Пример Распишите.Заранее Спасибо!

Приложения:

алина3121: А какой пример то???
KVadik220: Фото
KVadik220: Там варианты ответа
алина3121: аа. извини просто у меня никакого фото нет

Ответы

Ответ дал: nafanya2014
1
cos( \frac{x}{2}-  \frac{ \pi }{4})= \frac{1}{2} \\  \\   \frac{x}{2}-  \frac{ \pi }{4}=\pm arccos \frac{1}{2}+2 \pi k,k\in Z \\  \\  \frac{x}{2}-  \frac{ \pi }{4}=\pm  \frac{ \pi }{3}+2 \pi k,k\in Z \\  \\ \frac{x_1}{2}-  \frac{ \pi }{4}= \frac{ \pi }{3}+2 \pi k,k\in Z  \\ \\\frac{x_2}{2}-  \frac{ \pi }{4}=- \frac{ \pi }{3}+2 \pi k,k\in Z \\ \\ \ x_1=  \frac{ 2\pi }{4}+ \frac{2\pi }{3}+4 \pi k,k\in Z  \\ \\ x_2=  \frac{ 2\pi }{4}- \frac{2 \pi }{3}+4 \pi k,k\in Z \\

x_1=  \frac{ 7\pi }{6}+4 \pi k,k\in Z  \\ \\ x_2= - \frac{ \pi }{6}+4 \pi k,k\in Z \\

Правильный ответ. 4)

Ответ дал: manyny06
0
решение смотри на фотографии
Приложения:
Вас заинтересует