• Предмет: Алгебра
  • Автор: УченикНужнаПомощь
  • Вопрос задан 3 года назад

Логарифм степени 2 по основанию 3 x плюс логарифм по основанию 3 x минус два равно нулю помогите срочно

Ответы

Ответ дал: DimaPuchkov
3
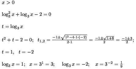
x\ \textgreater \ 0 \\ \\ \log_3 ^2 x + \log_3x -2 =0 \\ \\ t=\log_3x  \\ \\ t^2 +t-2=0; \ \ t_{1,2} =\frac{-1 \pm \sqrt{1^2 -4 \cdot 1 \cdot (-2)}}{2 \cdot 1}=\frac{-1 \pm \sqrt{1+8}}{2}=\frac{-1 \pm 3}{2}; \\ \\ t=1, \ \ t=-2  \\ \\ \log_3x=1; \ \ x=3^1 =3; \ \ \ \  \log_3x=-2; \ \ \ x=3^{-2} =\frac{1}{9}
Приложения:

DimaPuchkov: Если формулы не отображаются попробуйте перезагрузить страницу.
DimaPuchkov: Добавил фото на всякий случай.
Вас заинтересует