• Предмет: Алгебра
  • Автор: nuestrafamilia98
  • Вопрос задан 2 года назад

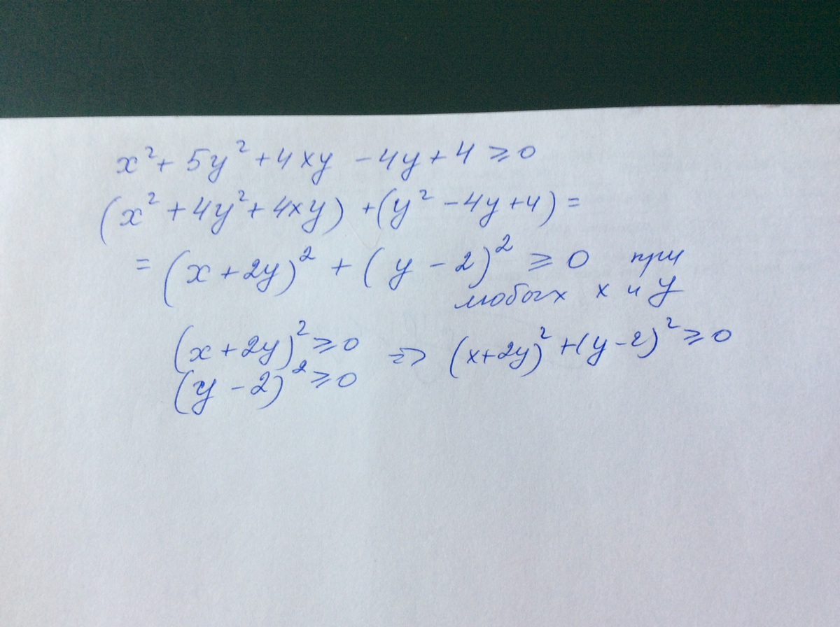
доведіть,що х^2 +5y^2 +4xy - 4y + 4 (больше либо равно)>= 0 при усіх дійсних значеннях x i y.

Ответы

Ответ дал: ВладимирБ
3
Решение смотри в приложении
Приложения:
Вас заинтересует