Ответы
Ответ дал:
0
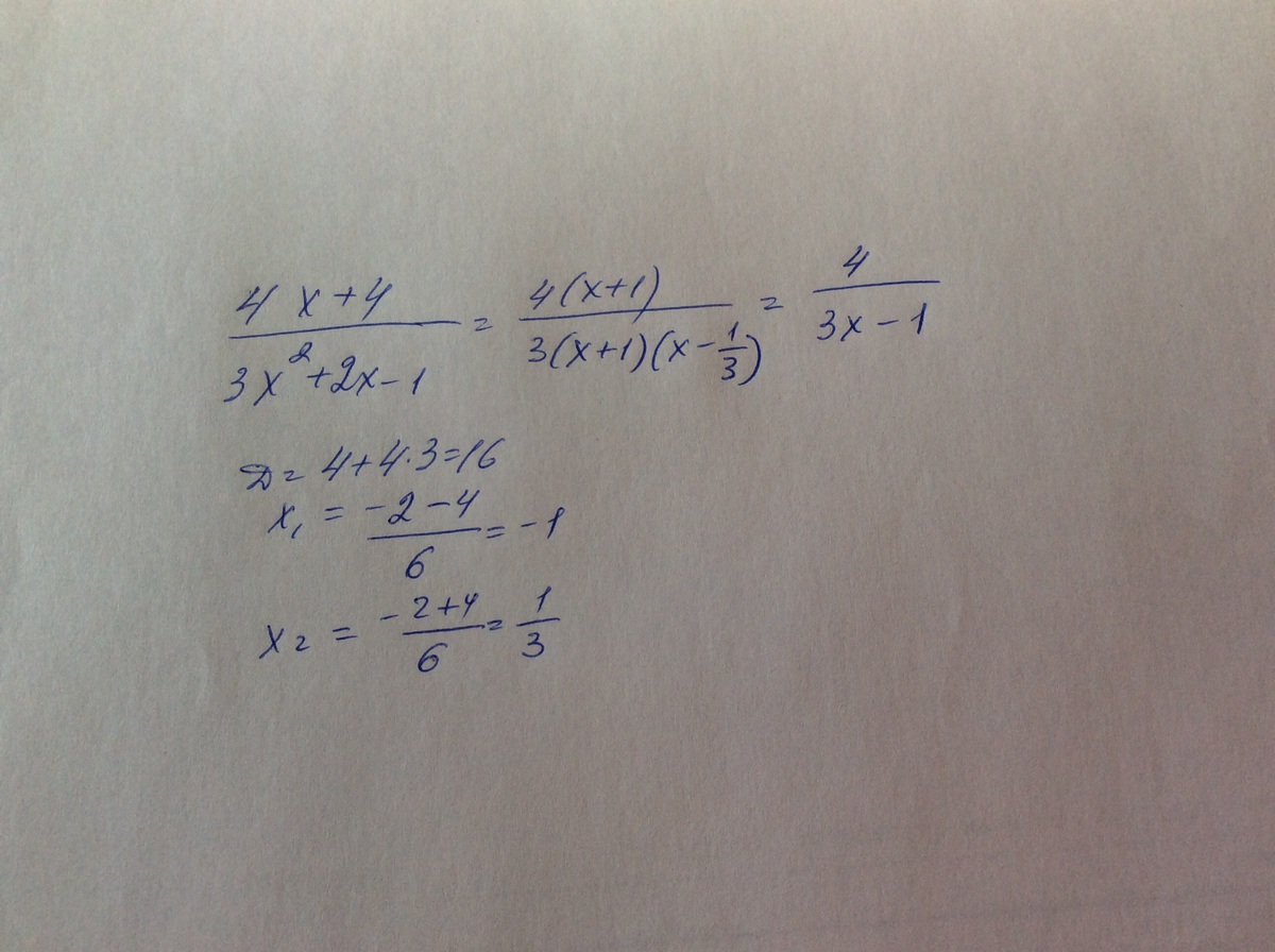
4x +4 = 4(x+1) = 4
3x² +2x-1 (x+1)(3x-1) 3x-1
Разложим знаменатель на множители:
3x² +2x -1=0
D=4 -4*3*(-1)=4+12=16
x₁ = -2-4 = -1
6
x₂ = -2+4 = 2 = 1/3
6 6
3x² +2x -1 = 3(x+1)(x -1/3) =(x+1)(3x-1)
3x² +2x-1 (x+1)(3x-1) 3x-1
Разложим знаменатель на множители:
3x² +2x -1=0
D=4 -4*3*(-1)=4+12=16
x₁ = -2-4 = -1
6
x₂ = -2+4 = 2 = 1/3
6 6
3x² +2x -1 = 3(x+1)(x -1/3) =(x+1)(3x-1)
Ответ дал:
0
Решение смотри в приложении
Приложения:
Вас заинтересует
2 года назад
2 года назад
2 года назад
7 лет назад
7 лет назад
9 лет назад
9 лет назад