Ответы
Ответ дал:
1
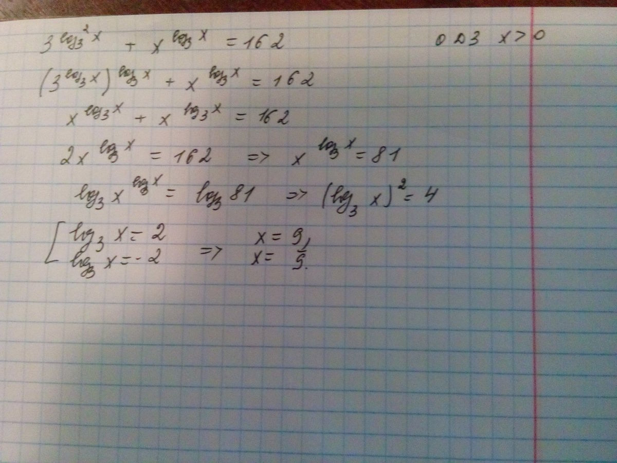
ОДЗ: x>0

Прологарифмируем уравнение по основанию три:

Ответ: 1/9; 9.
Прологарифмируем уравнение по основанию три:
Ответ: 1/9; 9.
focus49:
спасибо огромное)
Ответ дал:
1
Смотреть во вложении
Приложения:

Вас заинтересует
2 года назад
2 года назад
2 года назад
2 года назад
7 лет назад
8 лет назад
8 лет назад