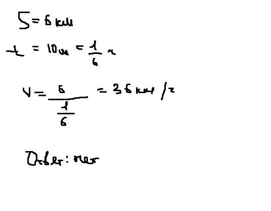
На дороге длиной 6 км стоит камень. На нём написано, что скорость движения по этой дороге не должна превышать 12 км/ч. Гонец в сапогах-скороходах пробежал эту дорогу за 10 мин. Соблюдены ли правила движения?
Ответы
Ответ дал:
2
,,,,,,,,,,,,,,,,,,,,,,,,,,,,,,,,,,,
Приложения:

Вас заинтересует
2 года назад
2 года назад
2 года назад
2 года назад
7 лет назад
9 лет назад