Ответы
Ответ дал:
7
,,,,,,,,,,,,,,,,,,,,,,,,,,,,,,,,,,,,,,,,,,,
Приложения:

Ответ дал:
3
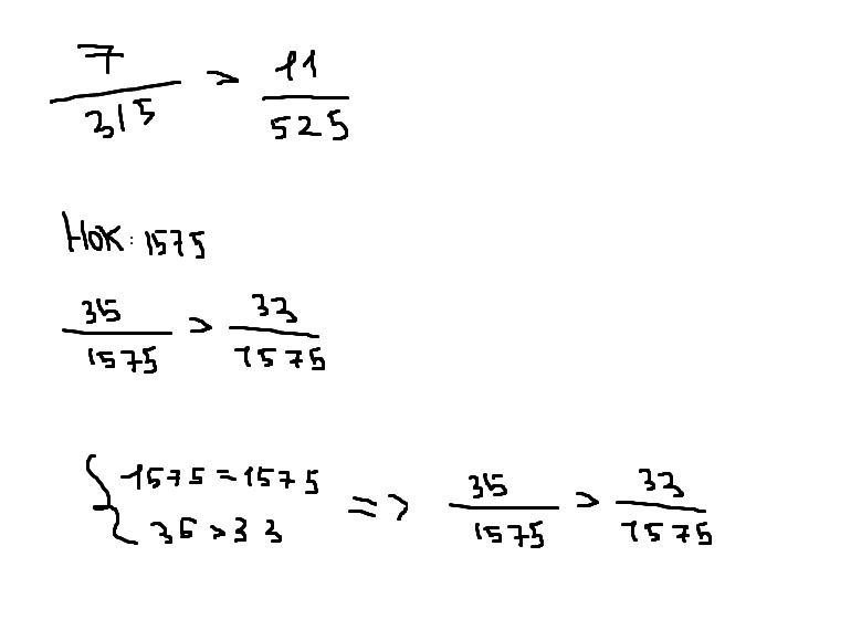
7/315=1/45
11/525 примерно=1/47,7
т.к. 45<47,7 7/315>11/525
Вас заинтересует
2 года назад
2 года назад
2 года назад
2 года назад
7 лет назад
9 лет назад