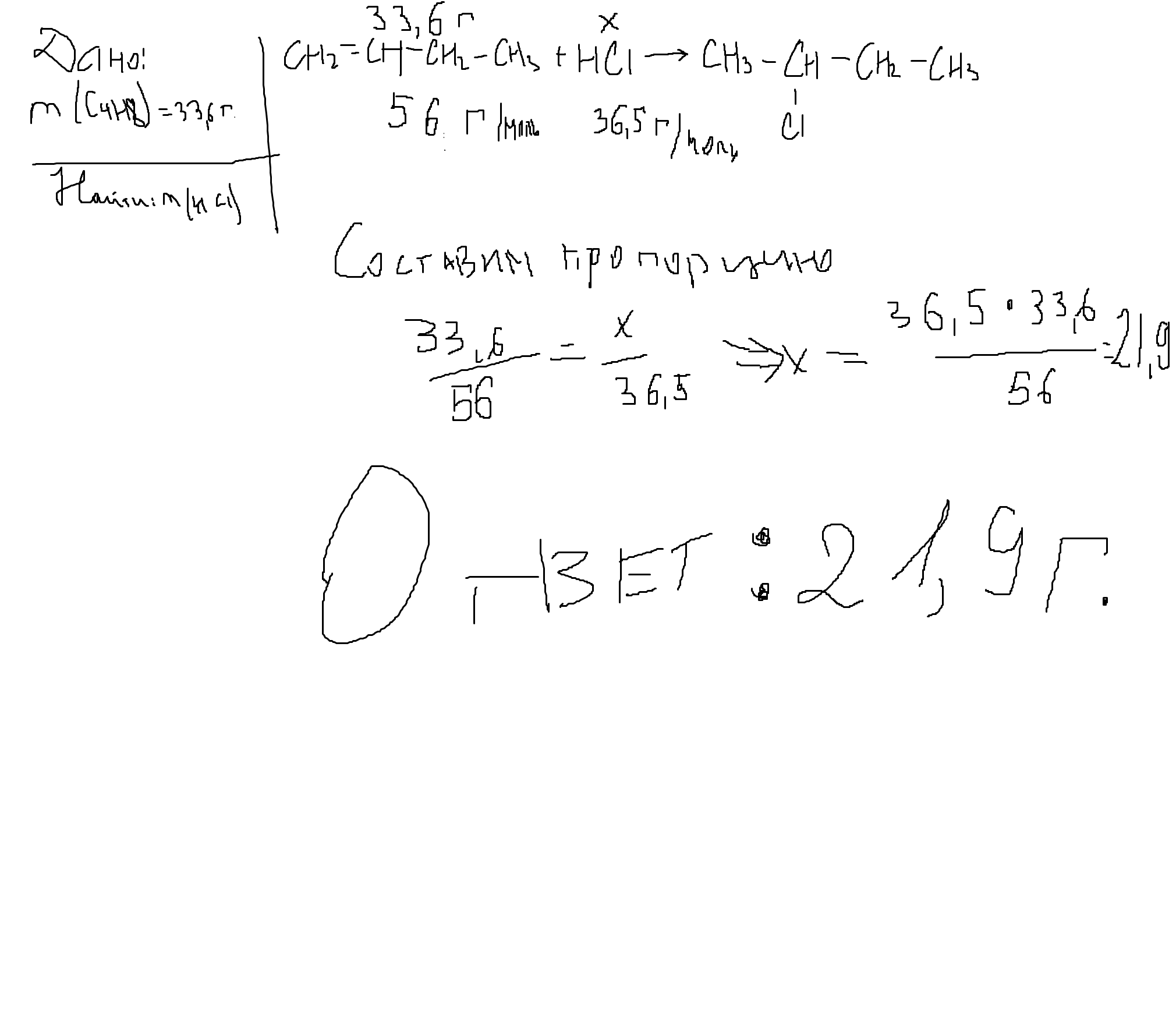
Найдите массу хлороводорода необходимого для гидрохлорирования 33,6 г бутена-2
( реакцию я сделал H2C=CH-CH2-CH3+ HCL--> CH3-CHCL-CH2-CH3)
ПОМОГИТЕ!!
Ответы
Ответ дал:
0
33.6 г. x г. Ну смотри, C4H8 + HCl= С4H9Cl
56г/моль 36,5г/моль
составляем пропорцию 33,6 - x
56 - 36.5 отсюда x= 36.5*33.6/ 56=21,9 г
Приложения:

Вас заинтересует
2 года назад
2 года назад
8 лет назад
8 лет назад
10 лет назад
10 лет назад
10 лет назад