• Предмет: Геометрия
  • Автор: natalyati
  • Вопрос задан 3 года назад

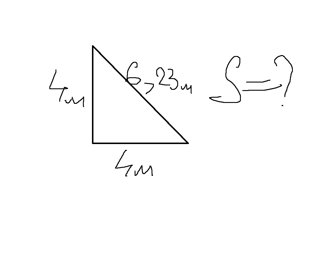
Найдите площадь прямоугольного треугольника
катеты = 4 м
гипотенуза = 6,23 м

Приложения:

Ответы

Ответ дал: Montale
0
S=1/2*a*b
a  и b-катеты
1/2*4*4=8(м²)
Ответ:8
Ответ дал: matveeva2013
0
Площадь прямоугольного треугольника равен половине произведения его катетов(S=1/2ab)
S=1/2*4*4=8
Вас заинтересует