• Предмет: Математика
  • Автор: Аноним
  • Вопрос задан 3 года назад

Помогите решить уравнения!

Приложения:

Ответы

Ответ дал: julyap
2
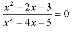
 \frac{ x^{2} -2x-3}{ x^{2} -4x-5} =0 \\  \\  x^{2} -2x-3=0\\D=2+12=16\\ \sqrt{D} =4 \\  x_{1} = \frac{2+4}{2} = \frac{6}{2} =3  \\ x_{2} = \frac{2-4}{2}=-1 \\  \\  x^{2} -4x-5 \neq 0\\D=16+20=36 \\  \sqrt{D}  =6 \\  x_{1}  \neq  \frac{4+6}{2}  \neq  \frac{10}{2}  \neq 5 \\  x_{2}  \neq  \frac{4-6}{2}  \neq - \frac{2}{2}  \neq -1 \\  \\

Otviet: x=3


Аноним: почему Вы числитель приравняли к нулю? это формула такая?
julyap: есть такое правило: если дробь равно 0 , то числитель равен нулю , а знаменатель не равен 0
Аноним: есть такое понятие: область допустимых значений (ОДЗ). Если знаменатель равен нулю - дробь не определена (на ноль делить нельзя). приравнивая знаменатель к нулю мы находим те значения х которые не удовлетворяют ОДЗ. данные значения исключаются из полученных ранее.
Аноним: Ясненько
Вас заинтересует