• Предмет: Алгебра
  • Автор: blacksqur
  • Вопрос задан 3 года назад

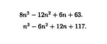
Доказать что число при натуральных n является составным

Приложения:

Ответы

Ответ дал: Denik777
1
Повозившись с решением этих кубических уравнений, можно просто проверить, раскрыв скобки, что  первое равно (2n+3)(4n²-12n+21), а второе (n+3)(n²-9n+39). Т.е., оба - составные.

Вас заинтересует