Помогитееее!!!
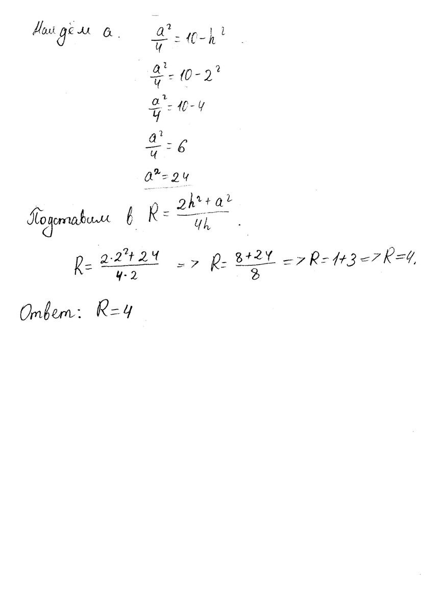
Найдите радиус шара, описанного около правильной четырехугольной пирамиды в которой боковое ребро составляет угол 30 с плоскостью основания, а длина апофемы равна корню из 10
Ответы
Ответ дал:
1
Решение в приложении. Должно быть понятно.
Приложения:


Вас заинтересует
2 года назад
2 года назад
7 лет назад
8 лет назад
8 лет назад