Ответы
Ответ дал:
0
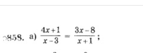
Приводим к общему знаменателю, домножая на знаменатель другой дроби
( (4x+1)(x+1) ) / ( (x-3)(x+1) ) = ( (3x-8)(x-3) ) / ( (x-3)(x+1) )
Знаменатели одинаковые, значит числители тоже равны.
Но надо помнить, что знаменатель не равен 0: x =/= 3; x=/= -1
(4x+1)(x+1) = (3x-8)(x-3)
Раскрываем скобки
4x^2+x+4x+1 = 3x^2-8x-9x+24
Приводим подобные
x^2+22x-23 = 0
Решаем квадратное уравнение. Надеюсь, с этим проблем нет.
x1 = 1, x2 = -23
( (4x+1)(x+1) ) / ( (x-3)(x+1) ) = ( (3x-8)(x-3) ) / ( (x-3)(x+1) )
Знаменатели одинаковые, значит числители тоже равны.
Но надо помнить, что знаменатель не равен 0: x =/= 3; x=/= -1
(4x+1)(x+1) = (3x-8)(x-3)
Раскрываем скобки
4x^2+x+4x+1 = 3x^2-8x-9x+24
Приводим подобные
x^2+22x-23 = 0
Решаем квадратное уравнение. Надеюсь, с этим проблем нет.
x1 = 1, x2 = -23
Ответ дал:
0
Вас заинтересует
2 года назад
2 года назад
2 года назад
2 года назад
7 лет назад
9 лет назад