• Предмет: Математика
  • Автор: agatasidelnik
  • Вопрос задан 2 года назад

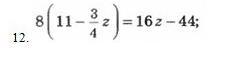
Помогите с решением уравнения :3
на снимке единственное что было в задании

Приложения:

Ответы

Ответ дал: jekadva
1
88 - 6z=16z-44
16z+6z=88+44
22z=132
z=132:22
z=6
Вас заинтересует