• Предмет: Алгебра
  • Автор: saiddavid
  • Вопрос задан 2 года назад

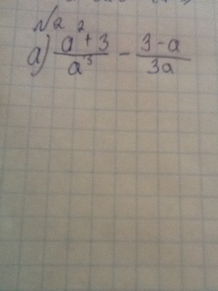
Помогите решить рациональные дроби сложение и вычитание дробей

Приложения:

Lizochka570: НАШЛА ТЕБЯ ))0

Ответы

Ответ дал: 999serg999
1
3a^{2} +4a^{4] вот так я думаю будет правильно
Вас заинтересует