• Предмет: Алгебра
  • Автор: ireena
  • Вопрос задан 3 года назад

Решите, пожалуйста, уравнения с корнями(иррациональные уравнения.)

Приложения:

Ответы

Ответ дал: mukus13
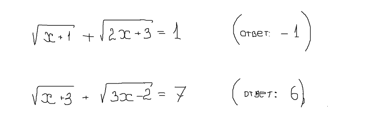
3
 \sqrt{x+1}+ \sqrt{2x+3}  =1

ОДЗ:
 \left \{ {{x+1 \geq 0} \atop {2x+3 \geq 0}} \right.

 \left \{ {{x \geq -1} \atop {x \geq -1.5} \right.

x ∈ [-1;+)

(\sqrt{x+1}+ \sqrt{2x+3})^2 =1^2

x+1+2x+3+2 \sqrt{(x+1)(2x+3)} =1

2 \sqrt{(x+1)(2x+3)} =-3x-3

-3x-3 \geq 0
x \leq -1

4(2 x^{2} +3x+2x+3)=9 x^{2} +9+18x

8 x^{2} +20x+12=9 x^{2} +9+18x

 x^{2} -2x-3=0

D=4+12=16
x_1=-1
x_2=3  не подходит

Ответ: -1

№ 2
 \sqrt{x+3} + \sqrt{3x-2} =7

ОДЗ:
 \left \{ {{x+3 \geq 0} \atop {3x-2 \geq 0}} \right.

 \left \{ {{x \geq -3} \atop {x \geq  \frac{2}{3} }} \right.

x ∈ [ \frac{2}{3} ;+)

( \sqrt{x+3} + \sqrt{3x-2})^2 =7^2

x+3+3x-2+2 \sqrt{(x+3)(3x-2)} =49

2 \sqrt{(x+3)(3x-2)} =48-4x

 \sqrt{(x+3)(3x-2)} =24-2x

24-2x \geq 0
-2x \geq -24
x \leq 12

( \sqrt{(x+3)(3x-2)})^2 =(24-2x)^2

(x+3)(2x-3)=576+4 x^{2} -96x

3 x^{2} -2x+9x-6=576+4 x^{2} -96x

 x^{2} -103x+582=0

D=10609-2328=8281=91^2
x_1=6
x_2=97  не подходит

Ответ: 6


Вас заинтересует