Ответы
Ответ дал:
1
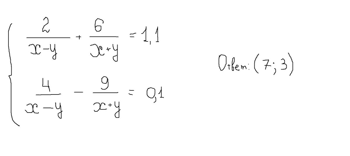
решение во вложении -----
Приложения:
ireena:
К сожалению, мой компьютер не открывает файл в этом формате!
щелкните мышкой по документу, в левом нижнем углу экрана появится прямоугольник. щелкните по нему, он откроется
некоторые открывают в новом окне и т.д.
если хотите, напишите мне в личку адрес электронной почты, я Вам отправлю на почту, может быть там откроет
некоторые открывают в новом окне и т.д.
если хотите, напишите мне в личку адрес электронной почты, я Вам отправлю на почту, может быть там откроет
Вас заинтересует
2 года назад
2 года назад
2 года назад
7 лет назад
7 лет назад
9 лет назад