• Предмет: Математика
  • Автор: amelimiss
  • Вопрос задан 11 лет назад

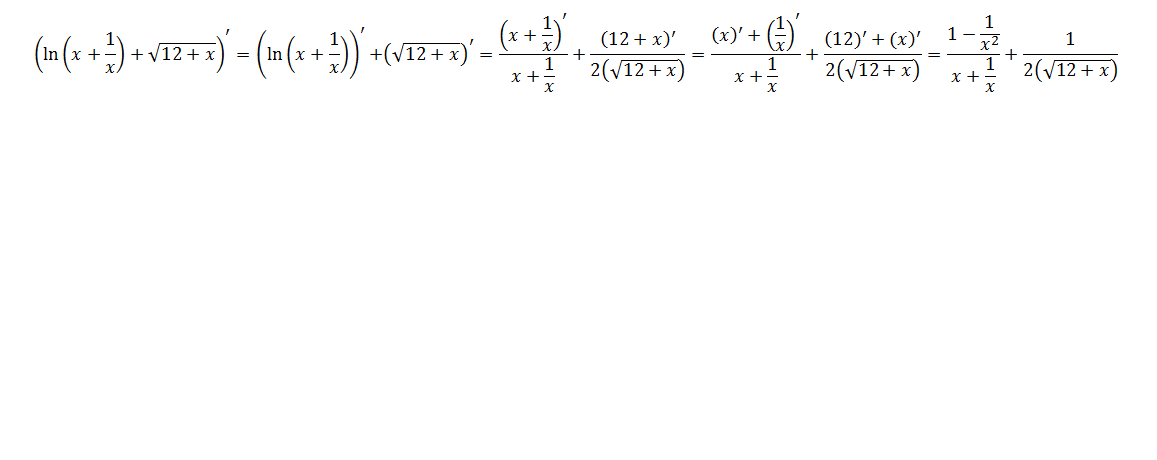
(ln(x+1/x))+sqrt(12+x) производная сложной функции . помогите решить )

Ответы

Ответ дал: Yena
0

....................................................................................

Приложения:
Вас заинтересует