• Предмет: Алгебра
  • Автор: nektome01
  • Вопрос задан 2 года назад

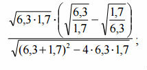
Вычислите. Файл прикреплен.

Приложения:

Ответы

Ответ дал: Аноним
1
...= \frac{ \sqrt{6.3^2} - \sqrt{1.7^2} }{ \sqrt{6.3^2+1.7^2+2\cdot6.3\cdot1.7-4\cdot6.3\cdot1.7} } = \frac{6.3-1.7}{\sqrt{(6.3-1.7)^2}} = \frac{6.3-1.7}{|6.3-1.7|} =\frac{6.3-1.7}{6.3-1.7} =1
Ответ дал: manyny06
1
решение смотри на фотографии
Приложения:
Вас заинтересует