• Предмет: Математика
  • Автор: Аноним
  • Вопрос задан 3 года назад

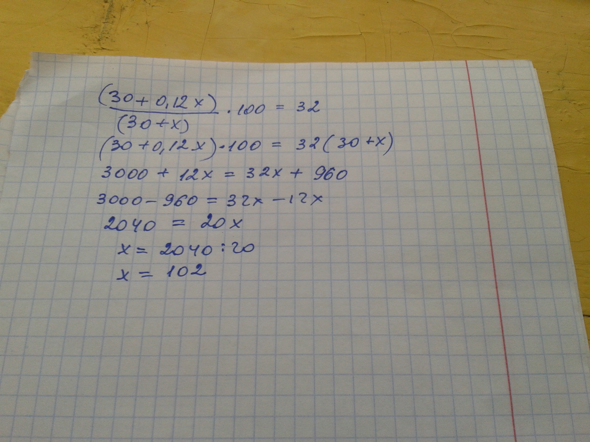
Помогите пожалуйста срочно с
решением (30+0.12x)/(30+x)*100=32

Ответы

Ответ дал: ВладимирБ
2
решение в приложении -----
Приложения:

Аноним: спасибо
Ответ дал: julyap
2
 \frac{30+0.12x}{30+x} *100=32 \\  \\  \frac{30+0.12x}{30+x} = \frac{32}{100}  \\  \\  \frac{30+0.12x}{30+x} = \frac{8}{25}  \\  \\ 240+8x=750+3x \\  \\ 8x-3x=750-240 \\  \\ 5x=510\\  \\ x=102
Вас заинтересует