• Предмет: Алгебра
  • Автор: Taras678
  • Вопрос задан 3 года назад

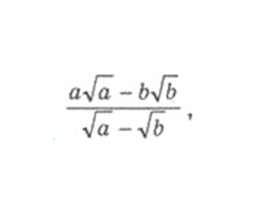
Знайти значення виразу якщо а = 0,2; b = 0,8

Приложения:

Ответы

Ответ дал: Аноним
4
 \frac{a \sqrt{a} -b \sqrt{b} }{\sqrt{a}-\sqrt{b}} = \frac{\sqrt{a^3}-\sqrt{b^3}}{\sqrt{a}-\sqrt{b}} = \frac{(\sqrt{a}-\sqrt{b})(a+\sqrt{ab}+b)}{\sqrt{a}-\sqrt{b}} =a+\sqrt{ab}+b\\ a=0.2;\,\,b=0.8\\ 0.2+\sqrt{0.2\cdot0.8}+0.8=0.2+0.4+0.8=1.4

Аноним: Решение изменил, обновите страницу
Вас заинтересует