• Предмет: Алгебра
  • Автор: lprizov
  • Вопрос задан 2 года назад

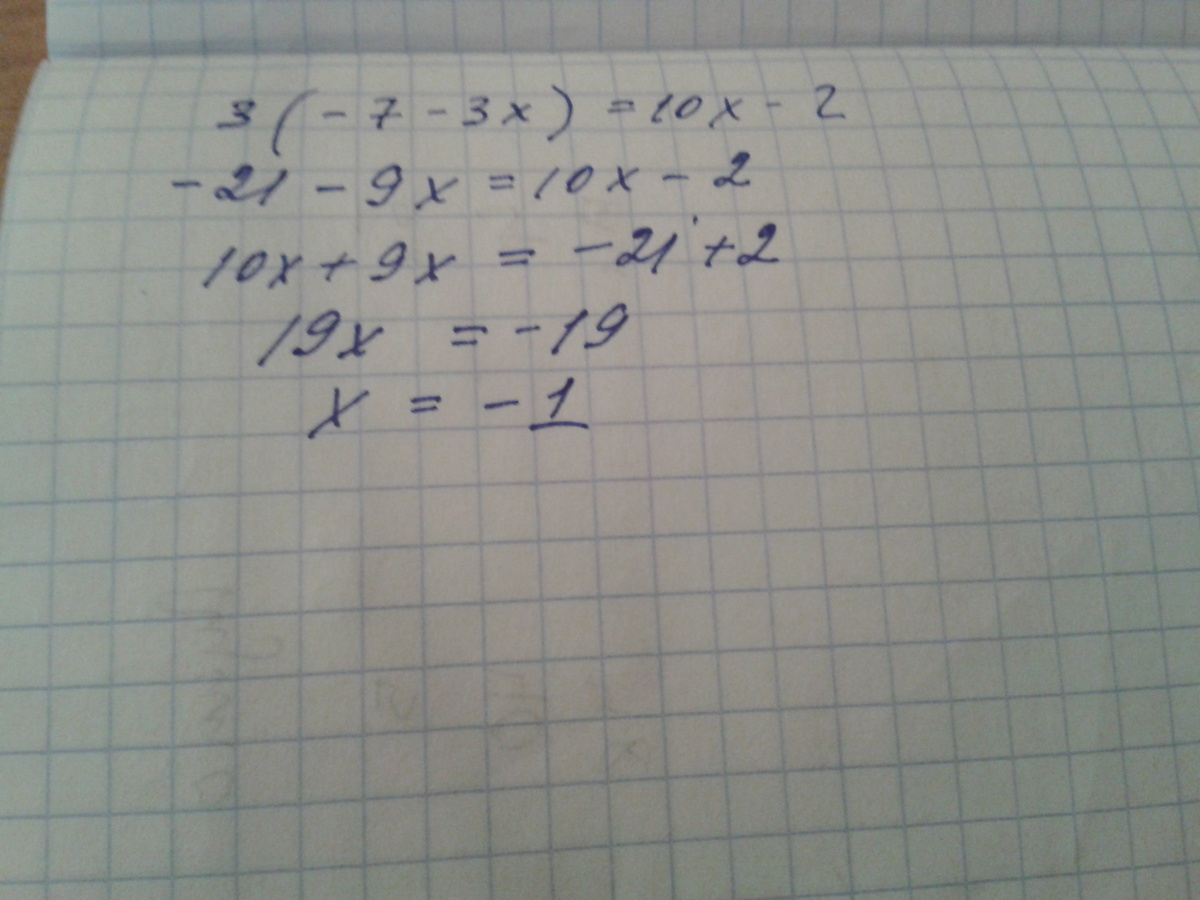
Решите уравнение: 3(-7-3х)=10х-2

Ответы

Ответ дал: ВладимирБ
2
решение смотри в приложении
ответ х=-1
Приложения:
Вас заинтересует