Ответы
Ответ дал:
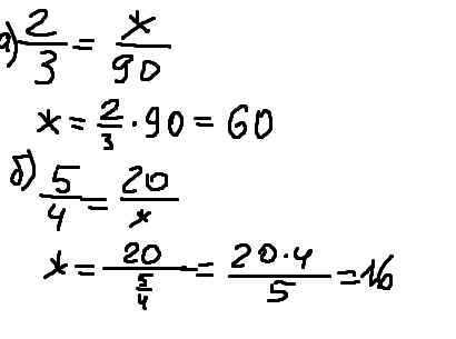
11
..............................................................
Приложения:

Вас заинтересует
2 года назад
2 года назад
7 лет назад
9 лет назад