Ответы
Ответ дал:
17
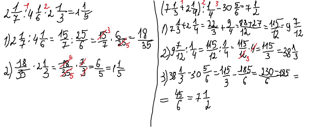
Решение прикреплено...........................
Приложения:

Ответ дал:
9
Вас заинтересует
2 года назад
2 года назад
7 лет назад