Вычислите. Пример во вложении.
Приложения:
NicolasBrown:
чисто ответ написать или решение, тоже?
Решение тоже, пожалуйста :3
Ответы
Ответ дал:
1
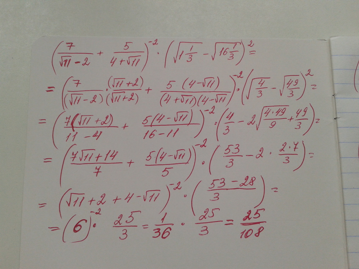
1)[7/(√11-2)+5/(4+√11)]^-2={7(√11+2)/(11-4)+5(4-√11)/(16-11)]^-2=
=[7(√11+2)/7+5(4-√11)/5]^-2=(√11+2+4-√11)^-2=(6)^-2=1/36
2)[√(1 1/3) -√(16 1/3)]²=[√(4/3)-√(49/3)]²=(2/√3 - 7/√3)²=(-5/√3)²=25/3
3)1/36*25/3=25/108
=[7(√11+2)/7+5(4-√11)/5]^-2=(√11+2+4-√11)^-2=(6)^-2=1/36
2)[√(1 1/3) -√(16 1/3)]²=[√(4/3)-√(49/3)]²=(2/√3 - 7/√3)²=(-5/√3)²=25/3
3)1/36*25/3=25/108
Не могу понять, почему, когда Вы умножили первую дробь на √11+4, в знаменателе получилось число, не соответствующее этому действию...
(√11-4)(√11+4)=11-4=7
1 умножила числитель и знаменатель на (√11+2),вторую на 4- √11
Ответ дал:
1
решение смотри в приложении
Приложения:
Вас заинтересует
2 года назад
2 года назад
2 года назад
7 лет назад
9 лет назад