Ответы
Ответ дал:
2
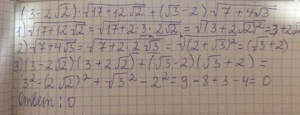
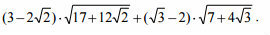
Ответ на фотографии...
Приложения:

madinashaizaman:
Просто формулу (a+b)² замуровали
Ответ дал:
1
тогда выражение примет вид
Вас заинтересует
2 года назад
2 года назад
2 года назад
2 года назад
7 лет назад
7 лет назад