ПООМОГИТЕ ОЧЕНЬ СРОЧНО НУЖНО ,я ВАС УМОЛЯЮ!!!!!!
Приложения:

hrhejdjdjdd:
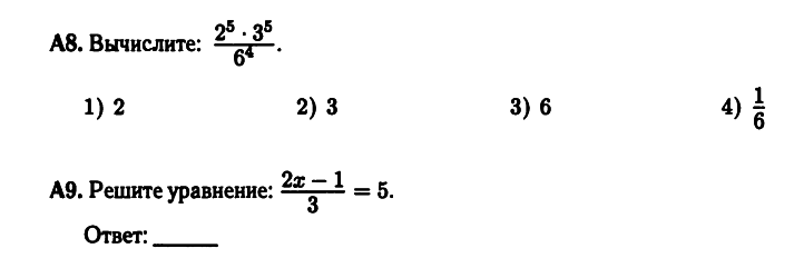
ответ уравнения будет 7
Ответы
Ответ дал:
1
Ответ:
Ответ:
Вас заинтересует
2 года назад
2 года назад
2 года назад
2 года назад
7 лет назад