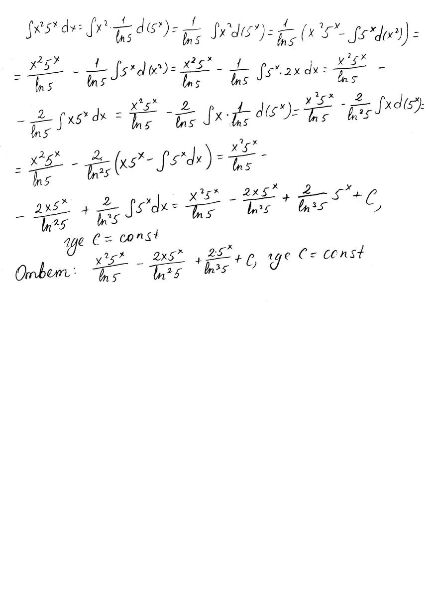
Найти неопр. интеграл. x^2*5^x dx.СНайти неопр. интеграл. x^2*5^x dx.С подробным решением, пожалуйста.
Ответы
Ответ дал:
0
Решение в приложении.Должно быть понятно.
Приложения:

Вас заинтересует
2 года назад
2 года назад
2 года назад
7 лет назад
7 лет назад
8 лет назад