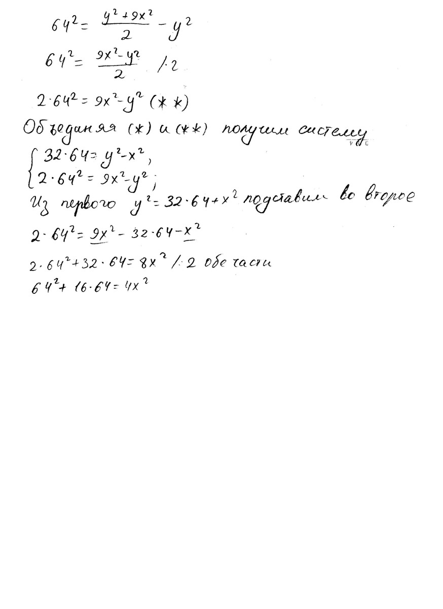
В треугольнике ABC биссектриса BE и медиана AD перпендикулярны и имеют одинаковую длину, равную 64. Найдите стороны треугольника ABC.
bearcab:
Ответы с корнями?
Ответы
Ответ дал:
3
Решение в приложении. Должно быть понятно.
Приложения:
Вас заинтересует
2 года назад
2 года назад
2 года назад
2 года назад
7 лет назад
7 лет назад
9 лет назад