Ответы
Ответ дал:
0
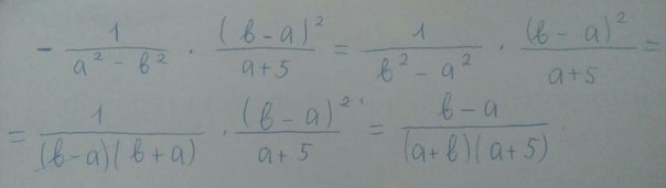
Решение во вложении.
Приложения:

Ответ дал:
0
Вас заинтересует
2 года назад
2 года назад
2 года назад
2 года назад
7 лет назад
8 лет назад