• Предмет: Алгебра
  • Автор: aniyn
  • Вопрос задан 10 лет назад

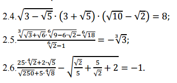
Решите, пожалуйста
Проверить справедливость равенств

Приложения:

Ответы

Ответ дал: ВладимирБ
0
Решение двух тождест в приложении
Приложения:
Ответ дал: aniyn
0
а 3 ?
Вас заинтересует