• Предмет: Алгебра
  • Автор: aniyn
  • Вопрос задан 10 лет назад

Решите, пожалуйста
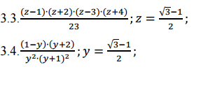
Сделать указанную подстановку и результат упростить:

Приложения:

Ответы

Ответ дал: nafanya2014
0
 frac{( frac{ sqrt{3}-1 }{2}-1)( frac{ sqrt{3}-1 }{2}+1)( frac{ sqrt{3}-1 }{2}-3)( frac{ sqrt{3}-1 }{2}+4) }{23}= \  \ =  frac{( frac{ sqrt{3}-3 }{2})( frac{ sqrt{3}+3}{2})( frac{ sqrt{3}-7 }{2})( frac{ sqrt{3}+ 7}{2}) }{23}= \  \ =  frac{(( sqrt{3} ) ^{2}-3 ^{2})(( sqrt{3}) ^{2}-7 ^{2})     }{16cdot 23} = frac{(-6)cdot (-46)}{16cdot 23} = frac{3}{4}=0,75

 frac{(1- frac{ sqrt{3} -1}{2})( frac{ sqrt{3}-1 }{2}+2) }{( frac{ sqrt{3}-1 }{2}) ^{2} cdot( frac{ sqrt{3}-1 }{2}+1) ^{2}  }= frac{(3- sqrt{3})(3+ sqrt{3}) 16 }{4( sqrt{3}-1) ^{2}( sqrt{3}+1) ^{2}    } = frac{4cdot 6}{4}=6
Вас заинтересует