• Предмет: Математика
  • Автор: Аноним
  • Вопрос задан 10 лет назад

Пожалуйста, помогите!!!!!!! Кто решит, того поблагадарю и учту ответ как лучший

Приложения:

Ответы

Ответ дал: Аноним
0
1) 7,5 см^2
2) 12 см^2
3) 10 см^2
4) 15,5 см^2
5) 23 см^2
6) 21 см^2
7) 14 см^2
8) 12 см^2
9) 16 см^2

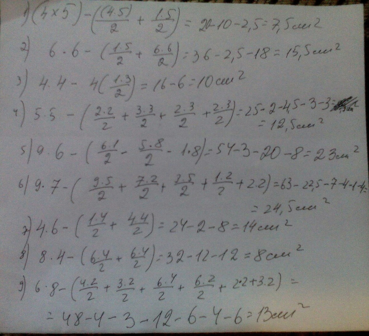
Ответ дал: miron2077
0
7,5
15,5
10
12,5
23
24,5
14
8
13
Приложения:
Ответ дал: Аноним
0
а как узнали
Ответ дал: miron2077
0
писать очень долго!, если время есть, то подожди, напишу.
Ответ дал: Аноним
0
ага, давайте
Ответ дал: miron2077
0
обнови ответ
Ответ дал: Аноним
0
спс
Вас заинтересует