Упростить выражение :
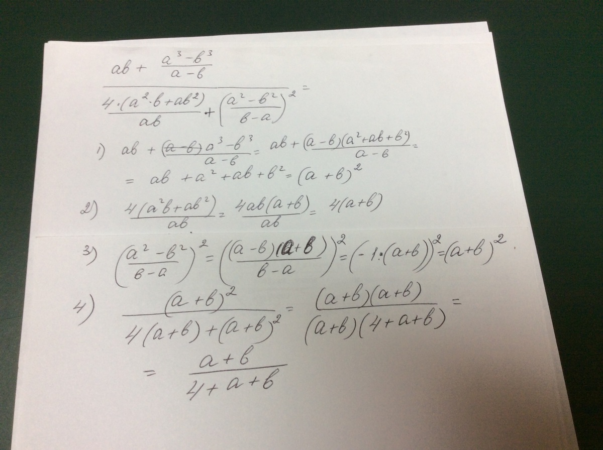
(ab + ((a^3-b^3)/(a-b)))/(4×((a^2×b+ab^2)/ab)+((a^2-b^2)/(b-a))^2
Очень надо!!! Заранее спасибо!
P.S. знаменатель я упростила, а с числителем проблемы (это дробь)
Ответы
Ответ дал:
0
Лрешение смотрит приложении
Приложения:

Ответ дал:
0
Спасибо! Только там знаменатель весь в квадрате, а не одна его часть, но все равно спасибо! Я там остальное сама дорешала и получила 8.
Ответ дал:
0
Но это я виновата,что непонятно написала)
Вас заинтересует
2 года назад
2 года назад
7 лет назад
7 лет назад
10 лет назад
10 лет назад
10 лет назад